Exploring the real wealth creation in U.K. stocks

Springer Nature Link

Research

16 Pages

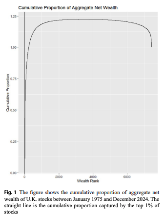
This study uses the approach of Bessembinder to examine the real wealth creation of U.K. individual stocks between January 1975 and December 2024. It finds real wealth creation is highly concentrated and only 3.1% of stocks generate the aggregate net wealth created.

Key Takeaways

Concentration: Aggregate real wealth creation is highly concentrated. The aggregate net wealth created by U.K. stocks is around £305 billion. It only requires 3.1% of stocks to generate the aggregate net real wealth creation. There are only 46.5% of stocks with positive real wealth creation.
Subperiods: Aggregate wealth creation is highly concentrated in the post Brexit vote and post Covid subperiods. It only requires 2.5% and 1.8% of stocks to generate the aggregate net wealth created in these subperiods.

Join our newsletter to have all of this content + Exclusive Newsletter Bonus Content delivered to your inbox every week

Related Content

Scroll to Top